◆トップページに移動 │ ★目次のページに移動 │ ※文字列検索は Ctrl+Fキー
変異原性が認められた化学物質に関する情報について
平成21年8月7日基安化発0807第1号
(社団法人日本化学工業協会会長・社団法人日本化学工業品輸入協会会長・化成品工業協会会長・農薬工業会会長・日本製薬団体連合会会長あて厚生労働省労働基準局安全衛生部化学物質対策課長通知)
標記につきましては、平成21年8月7日付け基発0807第6号「変異原性が認められた化学物質の取扱いについて」により厚生労働省労働基準局長から通知したところですが、当該化学物質に関する下記の資料を送付いたしますので、貴会傘下会員への周知の参考として御活用いただければ幸甚に存じます。
記
別紙 変異原性が認められた届出物質に関する情報一覧
別紙 変異原性が認められた届出物質に関する情報一覧
番号 |
名称 |
名称公表通し番号 |
名称公表年月日 名称公表告示番号 |
構造式 |
性状 |
用途の例 |
1 |
1―({2'―[(Z)―アミノ(ヒドロキシイミノ)メチル]ビフェニル―4―イル}メチル)―2―エトキシ―1H―ベンゾイミダゾール―7―カルボン酸メチル |
16673 |
平成20年9月26日 厚生労働省告示第460号 |
|
帯黄白色の結晶性粉末 |
医薬品中間体 |
2 |
4―(4―アミノ―3―フルオロフェノキシ)ピリジン―2―カルボキサミド |
16677 |
平成20年9月26日 厚生労働省告示第460号 |
|
褐色結晶 |
医薬品中間体 |
3 |
3―エチル―2―[(3―エチル―1,3―ベンゾオキサゾール―2(3H)―イリデン)メチル]―1,3―ベンゾオキサゾール―3―イウム=p―トルエンスルホナート |
16701 |
平成20年9月26日 厚生労働省告示第460号 |
|
白色結晶 |
感光材料 |
4 |
9―オキソフルオレン―2,7―ビス(ジアゾニウム)=ビス(テトラフルオロボラヌイド) |
16723 |
平成20年9月26日 厚生労働省告示第460号 |
|
淡褐色粉末 |
複写感光体の製造中間体 |
5 |
(1―クロロ―2,3―エポキシプロパン・4,4'―メチレンジフェノール重縮合物)と[(1―クロロ―2,3―エポキシプロパン・4,4'―メチレンジフェノール重縮合物)と(両末端アクリル酸付加した、アクリロニトリル・ブタ―1,3―ジエン共重合物)の反応生成物]の混合物 |
16745 |
平成20年9月26日 厚生労働省告示第460号 |
― |
黄褐色液体 |
接着剤 |
6 |
1―(クロロメチル)―2―(ジクロロメチル)ベンゼン |
16751 |
平成20年9月26日 厚生労働省告示第460号 |
|
無色透明油状 |
農薬原料 |
7 |
2,2―ジメチル―6―ニトロ―2H―クロメン |
16798 |
平成20年9月26日 厚生労働省告示第460号 |
|
淡黄色~茶褐色固体 |
治験薬中間体 |
8 |
3,4―ジメチルフェニルヒドラジン=塩酸塩 |
16800 |
平成20年9月26日 厚生労働省告示第460号 |
|
白色結晶 |
医薬品の中間体 |
9 |
トリクロロ酢酸無水物 |
16822 |
平成20年9月26日 厚生労働省告示第460号 |
|
液体 |
合成原料 |
10 |
4―ニトロピリジン―1―オキシド |
16831 |
平成20年9月26日 厚生労働省告示第460号 |
|
黄色結晶 |
医薬品の中間体原料 |
11 |
4―ニトロベンゼンスルホン酸=(R)―(2―メチルオキシラン―2―イル)メチル |
16832 |
平成20年9月26日 厚生労働省告示第460号 |
|
白色粉末 |
開発医薬品の原料 |
12 |
メタクリル酸=5―アセトキシ―2―(4―ジメチルアミノベンゾイル)フェニル |
16936 |
平成20年9月26日 厚生労働省告示第460号 |
|
結晶性粉体 |
電子工業材料 |
13 |
エタン―1,2―ジアミン・2―エチル―2―ヒドロキシメチルプロパン―1,3―ジオール・ジイソシアン酸=4,4'―メチレンジシクロヘキシル・α―6―ヒドロキシヘキシル―ω―ヒドロキシポリ(オキシカルボニルオキシヘキサメチレン)・2,2'―(メチルイミノ)ジエタノール重縮合物の硫酸ジメチル塩 |
17033 |
平成20年12月26日 厚生労働省告示第567号 |
― |
乳白色~半透明液状 |
塗料、接着剤原料 |
14 |
3―クロロイソベンゾフラン―1(3H)―オン |
17070 |
平成20年12月26日 厚生労働省告示第567号 |
|
固体 |
農薬原料 |
15 |
1―クロロ―2,3―エポキシプロパンと(ピペラジンとホルムアルデヒドの反応生成物)の反応生成物 |
17072 |
平成20年12月26日 厚生労働省告示第567号 |
― |
淡黄色透明液体 |
電気亜鉛系めっき光沢剤の成分 |
16 |
2―クロロ―4―ニトロイミダゾール |
17080 |
平成20年12月26日 厚生労働省告示第567号 |
|
淡黄白色の結晶性の粉末 |
研究用医薬品中間体 |
17 |
1,4―ジニトロイミダゾール |
17123 |
平成20年12月26日 厚生労働省告示第567号 |
|
白色固体 |
研究用医薬品中間体 |
18 |
(2,4―ジヒドロキシフェニル)(4―ジメチルアミノフェニル)メタノン |
17125 |
平成20年12月26日 厚生労働省告示第567号 |
|
結晶性粉体 |
電子工業材料 |
19 |
4―ニトロ―L―フェニルアラニンエチル=塩酸塩 |
17178 |
平成20年12月26日 厚生労働省告示第567号 |
|
微黄色結晶 |
医薬品製造中間体 |
20 |
3―ブロモ―1―オキソ―1,3―ジヒドロ―2―ベンゾフラン―5―カルボン酸メチル |
17238 |
平成20年12月26日 厚生労働省告示第567号 |
|
黄色固体 |
医薬品中間体 |
21 |
3―(4―ブロモブトキシメチル)―3―エチルオキセタン |
17241 |
平成20年12月26日 厚生労働省告示第567号 |
|
無色油状 |
光学材料 |
22 |
2―ブロモ―5―メチル―4,5,6,7―テトラヒドロ[1,3]チアゾロ[5,4―c]ピリジン=4―メチルベンゼンスルホン酸塩 |
17242 |
平成20年12月26日 厚生労働省告示第567号 |
|
だいだい白色の粉末 |
医薬品中間体 |
23 |
4―(ブロモメチル)フェニル(ジヒドロキシ)ボラン |
17243 |
平成20年12月26日 厚生労働省告示第567号 |
|
白~淡黄色固体 |
医薬品中間体 |
24 |
4―ブロモメチル―3―メチル安息香酸メチル |
17244 |
平成20年12月26日 厚生労働省告示第567号 |
|
微黄色粉末 |
医薬品中間体 |
25 |
4―クロロ―2,2―ジメチルペンタ―4―エン酸エチル |
17380 |
平成21年3月27日 厚生労働省告示第109号 |
|
無色油状物 |
医薬中間体 |
26 |
N―[4―(4,5―ジヒドロ―1,3―オキサゾール―2―イル)フェニル]ヒドロキシルアミン |
17403 |
平成21年3月27日 厚生労働省告示第109号 |
|
淡黄色粉状晶 |
ゴム用添加剤 |
27 |
(2S)―2―(3,4―ジフルオロフェニル)オキシラン |
17413 |
平成21年3月27日 厚生労働省告示第109号 |
|
無色透明液体 |
医薬品中間体 |
28 |
(4E)―デカ―4―エノヒドラジド |
17433 |
平成21年3月27日 厚生労働省告示第109号 |
|
白色固体 |
感熱記録材料 中間体 |
29 |
{2,2'―ビス[ビス(3,5―ジメチルフェニル)ホスファノ―κP]―1,1'―ビナフチル}[1,1'―ビス(4―メトキシフェニル)―3―メチルブタン―1,2―ジアミン―κ2N,N']ジクロロルテニウム(Ⅱ) |
17482 |
平成21年3月27日 厚生労働省告示第109号 |
|
黄色固体 |
触媒 |
30 |
2―((R)―1―フェニルエチル)アミノ―1―(4―ブロモフェニル)エタン―1―オン=塩酸塩 |
17513 |
平成21年3月27日 厚生労働省告示第109号 |
|
白色粉末 |
治験薬中間体 |
31 |
5―ブロモ―2,2―ジメチル―4―オキソペンタン酸エチル |
17538 |
平成21年3月27日 厚生労働省告示第109号 |
|
無色油状物 |
医薬中間体 |
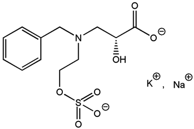
32 |
(2S)―3―{N―ベンジル―N―[2―(ヒドロキシスルホニルオキシ)エチル]アミノ}―2―ヒドロキシプロパン酸カリウムナトリウム |
17547 |
平成21年3月27日 厚生労働省告示第109号 |
|
白色粉末 |
医薬品中間体 |
33 |
4―ホルミル安息香酸クロリド |
17551 |
平成21年3月27日 厚生労働省告示第109号 |
|
橙色油状 |
樹脂添加剤の製造中間体 |
34 |
3―メチル―4―[(メチルスルホニルオキシ)メチル]安息香酸メチル |
17570 |
平成21年3月27日 厚生労働省告示第109号 |
|
白色粉末 |
医薬品中間体 |
35 |
4―エチニルアニリン |
17634 |
平成21年6月26日 厚生労働省告示第338号 |
|
茶色結晶 |
電子材料 |
36 |
(E)―1―クロロ―4―(2―ニトロエテニル)ベンゼン |
17676 |
平成21年6月26日 厚生労働省告示第338号 |
|
黄色結晶 |
医薬品の製造中間体 |
37 |
[N,N'―ビス(ペンタメチルフェニル)―2,2'―(イミノ―κN)ビス(エチレン)ジアミノ―κ2N,N']ジベンジルジルコニウム(Ⅳ) |
17748 |
平成21年6月26日 厚生労働省告示第338号 |
|
黄色固体 |
触媒 |
38 |
2―ブロモ―2―フルオロ酢酸エチル |
17784 |
平成21年6月26日 厚生労働省告示第338号 |
|
無色液体 |
医薬品中間体 |
39 |
2―ブロモメチル―5―ニトロアニソール |
17786 |
平成21年6月26日 厚生労働省告示第338号 |
|
白黄色粉末 |
医薬中間体 |
40 |
5―(2―メトキシ―4―ニトロフェニル)―1,3―オキサゾール |
17817 |
平成21年6月26日 厚生労働省告示第338号 |
|
黄色粉末 |
医薬中間体 |
41 |
2―メトキシ―4―ニトロベンズアルデヒド |
17818 |
平成21年6月26日 厚生労働省告示第338号 |
|
薄黄色粉末 |
医薬中間体 |